Agile werken van strategievorming tot tactische en operationele lagen
Voorheen betekende ‘technology push’ dat de techniek vooropliep en de klant of gebruiker het nauwelijks kon bijbenen: hij remde de snelheid van de ontwikkelingen omdat zijn adoptievermogen te gering was. Tegenwoordig is het omgekeerde aan de orde: nieuwe technologie maakt de klant of gebruiker nog hongeriger, hij adopteert snel en wakkert de push verder aan.
Zie hier de uitdaging voor het management, dat moet acteren in deze dynamische context waarin snelheid en innovatie het verschil maken. Bovendien heeft het management intern te maken met de nodige uitdagingen (tijd, geld, bestaande infrastructuur, verandervermogen) die nopen tot het maken van keuzes en stellen van prioriteiten. Om aan te sluiten op almaar versnellende ontwikkelingen is het noodzakelijk de planningshorizon op strategisch niveau hierop aan te passen. Agile is het sleutelwoord.
ICT speelt in de dynamiek een cruciale rol. Op het gebied van functionaliteit, snelheid en integriteit. Maar ook de ontwikkelingen voor de techniek onder de motorkap gaan snel en hebben veel impact (bijvoorbeeld cloudtechnologie of security). Genoeg reden om de besturing van groei en innovatie aan te laten sluiten bij de voorlopersrol die ICT hierin met agile voortbrengingsmethoden heeft opgeëist.
Agile betekent wendbaar en deze duiding is de spijker op z’n kop. De meeste agile methoden zijn het bekendst vanwege hun toepassing binnen applicatie- en softwareontwikkeling. Er wordt gewerkt met iteraties, kleine opzichzelfstaande projecten die steeds iets bruikbaars opleveren. Teams zijn multidisciplinair en het eigenaarschap is geborgd in de rol van de product owner. Voorbeelden van agile methoden zijn kanban, scrum en het Scaled Agile Framework.
ICT-besturing
Veel organisaties hanteren – nog steeds – voor het besturen van ICT het robuuste negenvlaksmodel (van Rik Maes) of varianten daarop. Het model lijkt vanwege zijn eenvoud en praktische bruikbaarheid de tand des tijds glansrijk te doorstaan. Het kent drie lagen en drie kolommen waardoor negen vlakken ontstaan. De lagen betreffen strategie (richten, scope 3 tot 5 jaren), tactiek (inrichten, scope 1 tot 3 jaren) en operatie (verrichten, scope tot 1 jaar). De drie kolommen representeren het businessdomein, het informatie-voorzieningsdomein en het technologiedomein.

Maar hoe bruikbaar is het model nu nog, gelet op de eerder beschreven uitdagingen waar bedrijven voor staan? Past een strategische scope van 3 tot 5 jaar, of een tactische planningshorizon van 1 tot 3 jaar nog wel? De indeling in de drie genoemde horizontale lagen roept associaties op met de bekende watervalmethode. Op strategisch niveau worden voor een langere termijn domeinen benoemd, die ‘onomkeerbaar’ zijn en dus rigide worden doorgegeven aan het tactische niveau, de waterval volgend. Op dit niveau worden vervolgens nieuwe applicaties ontwikkeld die passen binnen de strategische domeinen. Ook applicatie-ontwikkeling zelf is veelal langs de route van de waterval gelopen. Als reactie op deze traagheid en onomkeerbaarheid zijn agile methoden zoals bekend tegenwoordig gemeengoed geworden.
Agile en het negenvlaksmodel
Als we de agile methoden projecteren op het negenvlaksmodel dan zien we in eerste instantie toepassing binnen vlak 5, waar softwareontwikkeling plaatsvindt. De tactische planningshorizon verkleint hierdoor sterk: van 1 tot 3 jaar naar maximaal 3 maanden of zelfs 3 weken of 3 dagen! Multidisciplinaire teams met vertegenwoordigers uit de business, klanten en ICT-specialisten doen de agile-olievlek uitbreiden naar vakken 4 en 6 op tactisch niveau. Wie het boek The Phoenix project door Gene Kim, Kevin Behr en George Spafford heeft gelezen begrijpt dat iteraties ook direct en snel in productie genomen kunnen worden. Er zijn bedrijven die duizenden ‘deployments’ per dag realiseren. Vertaald naar het negenvlaksmodel betekent dit een uitbreiding van de agile-olievlek naar het operationele niveau, vlakken 7, 8 en 9. De agile-benadering neemt snel toe en werpt zijn vruchten af. Het lijkt erop dat alleen de strategische, richtende laag zich nog aan dit agile-geweld moet aanpassen.
Agile werken in de strategische, richtende laag
De traditionele strategische planningscyclus voor bedrijfs-, informatievoorzienings- en ICT-strategie past niet meer bij de tijdshorizon op inrichtend en verrichtend niveau. Strategieontwikkeling wordt kort-cyclischer: herijking en bijsturing eens per 3 maanden is eerder aan de orde. Natuurlijk is er een richtpunt op de meerjarenhorizon maar ook die is ernstig aan verandering onderhevig. Dit betekent een aanpassing in het strategisch planningsproces voor organisatie en instrumentarium.
Een goede en bewezen aanpak om dit te organiseren is een of meerdere ‘radarteams’ te vormen. Radarteams zijn multidisciplinaire teams die voortdurend de markt van technologie-aanbod, de klantbehoeften en gedrag van concurrentie scannen. In ‘sprints’ van 3 maanden doen ze aanbevelingen over het implementeren van nieuwe toepassingen. Zowel waar het digitaliseren van het primaire en ondersteunende processen betreft, maar ook aangaande toepassing van nieuwe ICT-technologie onder de motorkap.
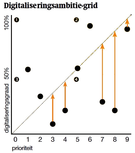
Ook het instrumentarium op het strategisch kortcyclisch niveau zal veranderen. Zo bieden geavanceerde simulatietechnieken de mogelijkheid om effecten van toepassing van digitalisering te voorspellen en te kwantificeren. Bijvoorbeeld: hoeveel extra callcentercapaciteit is er nodig na de introductie van een app voor het afsluiten van een autoverzekering? Een ander instrument is het zogeheten digitaliseringsambitie-grid. Dit grid is het resultaat van een per sprint uit te voeren scan en is vooral bedoeld om de gehele organisatie betrokken te houden bij de ontwikkelingen.

De scan speelt in op het feit dat, ingegeven door snelle ontwikkelingen, de digitaliseringsgraad en prioriteiten voortdurend verschuiven. In het grid worden, als uitkomst van interviews en workshops, alle primaire en ondersteunende processen geplot in een diagram met op de assen de digitaliseringsgraad en prioriteit. Idealiter zijn deze in lijn met elkaar op de diagonale as. Met name voor de processen in het vierde kwadrant rechtsonder (hoge prioriteit, lage digitaliseringsgraad) is er werk aan winkel. De resultaten uit de scan zijn dan richtinggevend voor de opdrachten aan product owners in het tactisch en operationele domein.
Van langetermijnbeleidsplan naar kwartaaldashboard
Het negenvlaksmodel blijft als ordeningskader prima bruikbaar voor ICT-besturing. Door toepassing van agile methoden, in eerste instantie op de tactische en operationele lagen, wordt wel de cyclustijd drastisch verkort. Daarnaast is het traditionele onderscheid tussen business en IT aan het verdwijnen. Dit vereist vervolgens aanpassing van de werkwijze op strategisch niveau, door ook hier agility te introduceren.
Door op dit niveau voortdurend de markt te scannen op de bruikbaarheid en toepasbaarheid van technologische ontwikkelingen en hierover met een kwartaalfrequentie aanbevelingen en implementatievoorstellen te doen wordt strategievorming agile. Het strategisch denken wordt sneller en kortcyclischer, maar ook spannender met een grotere kans op fouten of verkeerde inschattingen. Echter, waar staat geschreven dat management en directies geen fouten mogen maken? Drie jaren of meer wachten tot een volgende strategische heroriëntatie of een strategieontwikkeling met een doorlooptijd van 6 maanden zijn echt geen optie meer. Management zou zich daarmee loskoppelen van de tactische en operationele agile werkelijkheid.
Bij deze nemen we dus afscheid van documenten getiteld ‘Informatiebeleidsplan 2016 – 2019’ en omarmen het digitale en dynamische dashboard ‘Q3-2016: implementatieaanbevelingen radarteam digitale trends en ontwikkelingen’.
Een artikel van Henk Stienstra, adviseur ICT en bedrijfsvoering bij Wielinq, en Remko Zuidgeest, interim- en programmamanager bij Wielinq.
